|
|
|
| 云南省普通高中學業水平選擇性考試科目等級賦分辦法 |
| http://www.gangguanzhidu.com 2024年2月28日 來源:云南省招生考試院 |
|
根據《教育部關于普通高中學業水平考試的實施意見》(教基二〔2014〕10號)和《云南省人民政府關于印發云南省深化普通高等學校考試招生綜合改革實施方案的通知》(云政發〔2022〕37號)精神,制定本辦法。
一、適用科目及實施時間
等級賦分辦法適用于本省普通高中學業水平考試的思想政治、地理、化學和生物學4門選擇性考試科目。從2022年秋季入學的普通高中一年級學生開始,考生根據普通高等學校招生專業選考科目指引要求和自己的興趣特長,在上述4門科目中選擇2門作為選擇性考試科目,考試成績按照等級賦分辦法將原始分換算為等級分,以等級分呈現并計入其高考總成績,每科原始分和等級分滿分均為100分。
二、等級賦分方式
(一)劃分等級,將原始分轉換為等級。把每門選擇性考試科目考生按照原始分從高到低進行排序,依據考生成績統計分布,按一定比例將該選考科目考生劃分為5個等級,每個考生按照其原始分在該選考科目考生中的排序,對應到某個等級,從而將所有考生的原始分轉換成等級。
(二)等級賦分,將等級轉換為等級分。設定等級分起點分、滿分的分值。將考生原始分,依照等比例轉換法則,分別轉換到5個等級分數區間。根據轉換公式計算,1分1檔,得到相應科目的等級分,轉換過程不會改變考生之間的原始排名順序。
三、等級分的具體計算方法
(一)原始分轉換為等級。將每個選考科目考生的原始分從高到低順序排列,劃分為A、B、C、D、E共5個等級,各等級人數所占比例分別為15%、35%、35%、13%和2%(見等級分換算對應表),從而將考生的原始分轉換成等級。每個考生的等級由其在該選考科目群體的排位確定。
(二)等級轉換為等級分。等級賦分以30分作為賦分起點,滿分為100分。從A至E每個等級按照1分1檔的分數間隔對各個等級進行賦分,將A至E等級內的考生原始成績,依照等比例轉換法則,分別轉換到100~86分、85~71分、70~56分、55~41分、40~30分5個等級分數區間(見等級分換算對應表)。每門選考科目等級分的轉換基數為實際參加該選考科目考試并取得有效成績(即缺考或0分考生除外)的人數。根據轉換公式,四舍五入得到考生的等級分。轉換后的等級分1分1檔,考生排序不變。
1.等級換算對應關系。各等級及其所占人數比例、等級分賦分區間對應關系如表所示。
等級分換算對應表

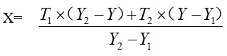
2.等級分換算公式。根據等比例轉換法則計算每個考生等級分的公式為:

其中,Y1、Y2分別表示某等級原始分數區間的最低分和最高分;
T1、T2分別表示相應等級的賦分區間的最低分和最高分;
Y表示考生的原始成績;
X表示考生轉換后的等級分。

考生原始成績正好為原始分數區間最高分或最低分時,不需要按轉換公式計算,相應賦分區間的最高分或最低分即為該考生的等級成績。在考生原始分數轉換成等級分的過程中,考生在相應選考科目考生群體中的排序不會發生變化。
。ㄈ┏煽兂尸F及使用
選擇性考試成績當年高考錄取有效。其中首選科目物理或歷史成績以原始分呈現,計入高等學校招生錄取總成績;再選科目成績以等級分呈現(等級分計算結果按“四舍五入”的規則以整數呈現),計入高等學校招生錄取總成績。
。ㄋ模┦纠f明
考生A在高考中政治原始成績為85分,在所有選考政治的考生中排名前10%。根據等級分換算對應表,該成績屬A等級,賦分區間為100~86分。根據當年高考考生原始成績的分布,政治科目A等級的實際分數區間為98~83分(實際以當年成績分布情況為準),按賦分公式轉換后,考生A的等級分為88分,最終以88分計入其高考總成績。

X≈87.87,經四舍五入后得到最終轉換成績為88分。
|
關于云南高考更多的相關文章請點擊查看  |
|
| 特別說明:由于各方面情況的不斷調整與變化,華禹教育網(www.gangguanzhidu.com)所提供的信息為非商業性的教育和科研之目的,并不意味著贊同其觀點或證實其內容的真實性,僅供參考,相關信息敬請以權威部門公布的正式信息為準。 |
|
|
|
| |